Avec la profusion de programmes d’entrainement cérébral et autres sudokus, la stimulation des capacités de notre néo-cortex ne cesse de fasciner ces dernières années. (cette phrase d’introduction est géniale, ma carrière dans Science & Vie Junior est assurée). Néanmoins, disons le honnêtement, cela ne fonctionne pas. Il n’y a pas de transfert des capacités développées d’un jeu à l’autre, sauf si c’est le même domaine spécifique qui est mis en jeu.
Que signifie ce charabia? Et bien grosso modo, si vous jouez beaucoup aux échecs, cela ne vous rendra pas meilleur en maths. En revanche, si dans votre pratique des échecs, vous développez la mémoire des positionnements de l’échiquier, les activités nécessitant ce type de mémoire spécifique en bénéficieront. Voilà, c’est de la cognition de comptoir, mais cela suffit à comprendre.
Ce qu’il faut retenir, c’est que jusqu’à maintenant, nous n’avions pas vraiment de moyen de jouer efficacement sur nos capacités cognitives « brutes ». Or, une équipe de recherches a publié en 2008 un article (ici) dans lequel elle fait état d’améliorations (entre autres au niveau du QI) obtenues grâce à l’usage d’un jeu nommé Dual N-back.
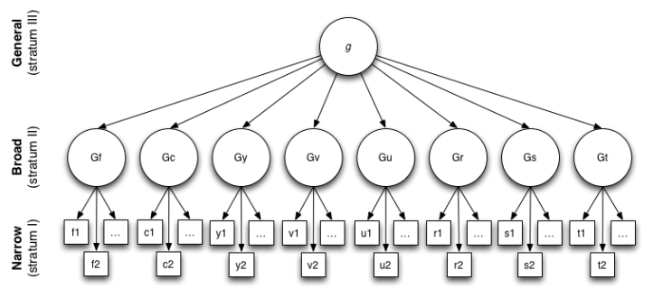
Le modèle d’intelligence de Cattell-Horn-Carroll
Si vous saviez la flemme que j’ai de résumer ce truc…..mais bon. En gros, dans ce modèle, l’intelligence est stratifiée (jetez un coup d’oeil au schéma ci-dessous).

Le g du haut désigne l’intelligence générale. Globalement, avoir un « grand g » équivaut à être performant dans les domaines qui découlent de cette intelligence générale, c’est-à-dire tous. Donc ce qu’il faut retenir, c’est qu’améliorer vos performances dans une des cases (le Gf, Gc etc) va bénéficier aux aptitudes qui en découlent.
Article wikipédia.
Les apports du Dual N-back :
Dans les grandes lignes, ce jeu permet d’améliorer l’intelligence fluide (la Gf), rien à voir avec des capacités de coucherie! (quoique….) Cette intelligence fluide est très proche dans sa définition du facteur g du modèle précédemment énoncé. On comprend donc que l’améliorer va profiter à de nombreux domaines cognitifs. Sans rentrer dans les détails, l’intelligence fluide est « la vaste capacité de raisonner, les concepts de forme, et résoudre des problèmes en utilisant des informations familières ou de nouvelles procédures. » Formulé autrement, lorsque Sherlock Holmes nous impressionne avec ses raisonnement déductifs, c’est une parfaite illustration de l’intelligence fluide au travail.
Mais le Dual N-back permet aussi d’améliorer les capacités d’apprentissage, l’attention, le QI, la mémoire de travail etc. Cette image n’engage que moi, mais en un sens, ce jeu développe la mémoire vive de notre cerveau, un peu comme si on améliorait notre processeur, donc notre capacité à traiter l’information.
Venons-en au fait : qu’est-ce que le Dual N-back
Il s’agit d’un jeu très simple. Une grille, similaire à celle du jeu de morpions, est présentée à l’utilisateur (voir schéma). Successivement, une case de la grille se colore et une voix donne une lettre. Le but pour l’utilisateur est d’appuyer sur une touche de position si la même case revient tous les N tours, et sur une touche de son si la même lettre revient tous les N tours.

Bon ce n’est peut-être pas très clair. Par exemple, en jouant au Dual 2-back (c’est le niveau 2 du jeu). Si les trois premiers tours donnent ceci :
-L, case du milieu
-C, case en haut à gauche
-H, case du milieu
L’utilisateur, au 3ème tour, doit donc appuyer sur la touche de position, car la case du milieu est la même à 2 tours d’intervalle, mais pas pour la lettre, car elle est différente. Bref, j’espère que vous voyez l’idée. En résumé, l’utilisateur doit retenir une suite de lettres et une suite de positionnements. Plus le N, donc le niveau, augmente, plus c’est difficile car la suite de lettres et de positions est longue. (ça parle de positions et de longueur….je vois le genre).
Pourquoi c’est difficile :
La difficulté augmente de manière exponentielle. En effet, niveau 1, il suffit de retenir ce qui a été dit au tour précédent, un jeu d’enfant. Niveau 2, il faut retenir le tour avant la précédent, un peu plus difficile. Niveau 3, vous avez en permanence 3 lettres et 3 positions à retenir, sachant qu’à chaque tour, il faut comparer la nouvelle lettre et la nouvelle position avec celles de 3 tours avant, tout en mémorisant cette nouvelle lettre et position. Ca se fait sur quelques tour, mais quand il faut le faire sur 30 tours, c’est rapidement éprouvant.
Est-ce que ça marche?
Je n’ai malheureusement pas de test de QI sur moi ou de test fiable pour mesurer mes performances (longueur….positions, performances, ce gars a un problème). Mais d’après l’article que j’ai cité plus haut, cela fonctionne. Néanmoins, j’aimerais attirer l’attention des personnes qui ont eu le courage d’arriver jusqu’ici dans la lecture. Je pense effectivement que cela fonctionne. Mais les efforts à fournir compte tenu des gains sont considérables. Formulé autrement, c’est exactement comme si je vous disais « apprendre à jouer du violon augmente la capacité à être bon en violon ». A votre avis, en commençant cet instrument, à par exemple 25 ans, combien de temps et d’acharnement à la pratique vous faudra-t-il pour jouer un morceau correctement et qu’il soit agréable à écouter? C’est la même idée ici : cela demande beaucoup de concentration, de la régularité, et une manière de pratiquer bien spécifique pour que les effets de l’entrainement se fassent sentir.
Mon expérience avec ce jeu :
La pratique du Dual N-back a quelque chose de dérangeant. En effet, elle demande d’être vraiment à ce que l’on fait. Ce jeu a au moins cet intérêt : il nous fait prendre conscience de la volatilité de notre esprit. L’expérience est assez proche de la méditation : on se rend vite compte que malgré nos efforts pour fixer notre esprit sur quelque chose, ce-dernier a tendance à partir virevolter de ci-delà. Un exemple de super dialogue intérieur pendant le jeu :
jeu : a, a, a, b, h, a, h
moi : oh cool, 3 a, ca c’est facile à retenir (se dit cela pendant que le b est énoncé) Ah merde, c’était quoi la lettre après les 3 a? Bon, ce n’est pas grave, si le a sort, je clique. Oh un h! Je l’ai entendu y a pas longtemps, aller je clique. Merde c’est faux….tain je vais faire un mauvais score. Oh merde, c’était quoi après ce h-là???? Tain vraiment le score de merde! Oh merde, j’ai encore raté la lettre.
Ce jeu a ce côté dérangeant car il nous met fasse à ce manque de capacité d’attention. Lorsque je me rends compte que sur une même séance (donc même état de fatigue, quantité de sucre dans le sang équivalente, même pensées néfastes qui trottent dans ma tête) je passe de 20% de réussite à 85% d’une série sur l’autre selon si je parviens à me concentrer ou pas, cela fait un peu peur. Grosso modo, ce jeu permet de réaliser le manque de ferveur que l’on dans nos révisions, notre travail, nos partiels et plein d’autres choses. Néanmoins, parvenir à être véritablement concentré reste agréable. Difficile, mais agréable.
En pratique :
Voilà un lien vers un site de téléchargement gratuit du jeu. Il existe également des applications pour portable (vous tapez dual N-back dans la recherche et vous trouverez votre bonheur). Il est conseillé de s’entraîner 20 minutes par jour, 5 à 6 jours par semaine. En toute honnêteté, il est difficile de trouver le temps et l’énergie après une journée de travail pour s’entraîner. Car le problème est là : il faut toujours sortir de sa zone de confort intellectuelle pour que le procéder fonctionne. On touche-là à un des problèmes du corps humain : comment améliorer ses performances, physiques ou mentales. En effet, j’ai le sentiment que dans notre esprit, on s’imagine que se mettre à une activité signifie galérer au début, et une fois que l’on a pris le coup, hop, l’entraînement restera difficile, mais moins. (un peu comme lorsque l’on se remet à courir après 2 ans de non pratique, mais qu’on pense qu’au bout de quelques mois, le jogging sera cool). Malheureusement, pour continuer à progresser, il faut justement forcer le corps à aller plus loin, ce qui n’est pas agréable.
J’en viens au fait : un des risques avec ce jeu est que l’on parvienne à progresser de niveau en niveau, mais sans faire travailler efficacement la mémoire de travail de notre cerveau. En effet, cela est très coûteux en effort mental, et ce coût, notre cerveau essaie de le diminuer. Pour se faire, il met au point (souvent à notre insu, mais c’est cela qui fait la beauté de notre esprit) des stratégies de triche. Par exemple, au lieu de retenir comme lettres C, H, A, il retiendra cha. Il aura des pics d’attention et de relâche dans sa mémorisation. Il dessinera des dessins à partir de positions successives afin d’en retenir plusieurs en un seul schéma plutôt que faire l’effort de toutes les retenir etc. Naturellement, cela va avoir un effet « positif »: permettre de s’élever en niveau. Néanmoins, cela n’aura pas l’effet escompté sur l’intelligence. Dit autrement, c’est un peu comme si vous vouliez gagner en force en musculation, mais au lieu de faire correctement le mouvement pour vos bras, vous vous penchez en arrière pour vous aider d’autres muscles. Donc sur le résultat, vous avez porté plus lourd, mais dans la pratique, vous faites mal l’exercice et donc ce que vous visiez, les bras, sont moins bien entraînés et ne progressent pas vraiment. Une fois que vous aurez fait quelques séries sur le jeu, je vous conseille de jeter un coup d’œil à ce tutoriel https://olivier-roland.com/wp-content/ressources/Comment-utiliser-le-dual-nback.pdf
Il permet d’éviter les astuces qui freinent votre progression.
Le mot de la fin sur l’intelligence :
L’intelligence est un sujet très controversé. De plus en plus, on la scinde en différents domaines : logico-mathématiques, artistiques, créatifs, visuels, auditifs etc. C’est une bonne chose en un sens : cela permet de se rappeler que quelqu’un qui est mauvais en maths pourra néanmoins être excellent en architecture ou qu’une personne mauvaise en mémorisation pourra cependant être une excellente oratrice etc. Néanmoins, il ne faut pas se le cacher, de manière générale, il y a une forte corrélation entre de haut QI et des capacités comme la créativité etc. Bien sûr, des exceptions existent, mais généralement, une personne astucieuse le sera dans de nombreux domaine, et une personne con comme ses pieds le sera dans de nombreux domaines. Mais il faut se rappeler de plusieurs choses. L’intelligence a des origines génétiques, éducatives et environnementales et nous ne sommes absolument pas égaux là-dessus. Et ouais, la vie est injuste. Néanmoins, il faut se rappeler d’une chose, certes nos capacités de base comptent beaucoup, mais le travail, la pratique, et l’ouverture d’esprit jouent un rôle aussi important, si ce n’est plus. Les grands musiciens se sont construits sur la pratique, pas uniquement sur un talent naturel. De même pour les grands sportifs, les grands intellectuels etc.
Une chose que l’on néglige souvent, c’est que notre esprit est plus performant lorsqu’il est intéressé par ce qu’il fait, lorsqu’il s’amuse! J’ai vu des gens qui n’avaient pas fait d’étude, qui ne travaillaient pas des milieux « intellectuels » être prodigieux de raisonnement et d’astuciosité (et ouais, je crée des mots moi!) dans de nombreux domaines, car ces domaines les intéressaient. A l’inverse, j’ai vu la fine fleur de l’élite française montrer parfois une stupidité ou une fermeture d’esprit navrante dans certains domaines, sous prétexte que cela ne touchait pas à leur activité professionnelle. Sans pointer du doigt personne, je trouve cela navrant que des personnes baignant dans un milieu de recherches (donc où l’on nous enseigne à tout remettre en question) prennent pour argent comptant ce qui est dit à la télé ou dans les journaux.
J’ai récemment rencontré un garçon très sympathique qui m’a étonné par « l’intelligence » qui émane de lui. (cela l’a toujours mis mal à l’aise que je présente ainsi les choses, mais bon ^^). Nous avons fait un peu d’escalade ensemble, et refait le monde. Et au bout de quelques mois, une chose m’a frappé : ce garçon a une âme d’enfant : il semble s’amuser énormément dans tout ce qu’il fait (pas dans le sens « il se moque de tout », mais dans le sens de trouver de l’étonnement en toute chose). Et cela le rend « intelligent » dans ces domaines.
Aussi, si je puis vous donner un conseil : gardez l’esprit ouvert, ne négligez pas la pratique, et essayez de vous intéresser à un maximum de choses. Je vous souhaite bon courage si vous décidez de vous mettre au dual N-back et de vous accrochez : si comme moi, vous ne progressez pas vite, ça ne veut pas dire que cela ne porte pas ses fruits, c’est juste que ces fruits mettent du temps à mûrir. Bon courage!
H